文献解读|Front Microbiol(6.064)JBS5-6作为控制香蕉枯萎病的潜在生物防治剂:基因组测序和次级代谢物分析
✦ +
+
论文ID
原名:Newly Isolated Streptomyces sp. JBS5-6 as a Potential Biocontrol Agent to Control Banana Fusarium Wilt: Genome Sequencing and Secondary Metabolite Cluster Profiles
译名:JBS5-6作为控制香蕉枯萎病的潜在生物防治剂:基因组测序和次级代谢物分析
期刊:Frontiers in Microbiology
影响因子:6.064
发表时间:2020.12.03
DOI号:10.3389/fmicb.2020.602591
背 景
尖孢镰刀菌(Fusarium oxysporum f.sp.cubense,Foc)引起的枯萎病严重威胁着全球香蕉产业的发展。特别是Foc热带小种4(Foc TR4)可感染全球80%以上的香蕉和大蕉作物。到目前为止,还没有化学农药或抗病品种可用于控制该病,利用放线菌进行生物防治被认为是一种很有前景的策略。
这项研究从一个10多年没有枯萎病症状的香蕉园中分离到88株放线菌,发现其中一株放线菌JBS5-6对Foc TR4和其他10种植物病原真菌具有较强的抗真菌活性。根据表型和生化特性以及全基因组分析,将菌株JBS5-6归属于紫黑链霉菌Streptomyces violaceusniger. 该菌株的发酵液通过破坏细胞膜的完整性和超微结构来抑制Foc TR4的菌丝生长和孢子萌发。
通过对JBS5-6菌株的全基因组测序,发现了一些有助于活性次级代谢产物生物合成的关键功能基因簇。气相色谱-质谱(GC-MS)进一步鉴定,5-羟甲基-2-呋喃甲醛是JBS5-6菌株提取物的主要成分之一。
此外,在盆栽实验中,菌株JBS5-6的发酵液抑制了Foc TR4的感染,显著降低了香蕉幼苗的疾病指数。因此,菌株JBS5-6是一种潜在的生物控制剂,可用于疾病管理和生物肥料的开发。
实验设计

结 果
01

放线菌的分离和抗真菌活性测定
从超过10年无香蕉枯萎病症状的香蕉园中分离到88株放线菌,针对Foc TR4进行筛选。17个放线菌在初步实验中显示了抗真菌活性,其中,JBS5-6的菌株对FocTR4表现出很强的抗真菌活性,抑制率为60.46%(图1A)。
02

JBS5-6菌株的培养及形态特征
菌株JBS5-6可以在pH值5.0-9.0、NaCl含量小于3%的培养基ISP3、ISP4、ISP5和ISP6上生长良好,适宜生长温度为28-45℃。通过扫描电镜观察到菌株JBS5-6直而长的气生菌丝在短枝末端产生约4-6个孢子。光滑的圆柱形孢子首先形成螺旋链,然后像一串葡萄一样聚集在一起(图1B)。
03

JBS5-6菌株的系统发育树构建
对菌株JBS5-6进行16S rRNA测序并通过EzBioCloud进行分析,菌株JBS5-6与链霉菌标准菌株S.violaceusniger NBRC13459的相似性为99.93%。通过MEGA7.0软件使用邻接法构建系统发育树(图1C)。结合形态、生理和生化特性,将JBS5-6菌株归为链霉菌属。

图1. 对Foc TR4具有高抗真菌活性的链霉菌菌株的分离和鉴定
(A) JBS5-6菌株对Foc TR4具有较高的抗真菌活性
(B)利用扫描电镜观察JBS5-6菌株气生菌丝体和孢子的形态特征
(C)利用邻接法构建基于16S rRNA序列的系统发育树
04

JBS5-6菌株的抗真菌活性测定
为了评估菌株JBS5-6是否具有广谱抗真菌活性,选择了11种植物病原真菌进行试验。与未经处理的病原菌菌丝相比,对Foc TR4(ATCC 76255)、尖孢炭疽菌C. acutatum(ATCC 56815)、胶孢炭疽菌C. gloeosporioides(ATACC 58222)和新月炭疽菌C. lunata (ATOC 42011)的抑制能力超过80%。对C. lunata的菌丝生长抑制率最大(88.98 ± 1.47%),其次是Foc TR4,(87.22 ± 1.47%)。对F. oxysporum. sp. cucumebrium(ACCC30220)的抑制率最小(72.22±0.56%),其次是P. oryzae(ATCC 52352)(69.44±2.42)和B. dothidea(ATCC 208829)(70.37±2.31)。
根据毒性曲线,计算了菌株JBS5-6发酵液对11种致病真菌的EC50值。对C. gloeosporioides、C. lunata、B. cinerea和Foc TR4表现出最高的抗真菌活性,EC50值分别为106.64、108.96、129.27和136.92µg/mL。这些结果表明,菌株JBS5-6对选定的11种病原真菌可能具有良好的潜在抑制能力。
05

JBS5-6菌株发酵液对 FocTR4孢子萌发和菌丝生长的抑制作用
用扫描电镜观察JBS5-6菌株发酵液处理后的Foc TR4菌丝的形态特征(图2A)。对照组中,FocTR4菌丝表面光滑,顶端圆形,形态规则。处理组中,Foc TR4菌丝体的外表面变形、起皱,菌丝直径不同。菌丝体沿菌丝边缘呈波状和变形结构。菌丝顶部也检测到一些破裂的气泡。
此外,菌株JBS5-6发酵液对Foc TR4孢子萌发有显著影响(图2B)。菌株JBS5-6发酵液有效地抑制了Foc TR4、C. acutatum、C. gloeosporioides和C. lunata的孢子萌发,抑制率分别为80.81、83.25、82.23和82.38%。随着发酵液浓度的增加,孢子萌发率逐渐降低。对照组没有抑制病原真菌孢子的萌发。

图2. JBS5-6菌株对(A)菌丝形态孢子萌发(B)孢子萌发(C)Foc TR4细胞超微结构的影响
用10%的DMSO处理作为对照 比例尺:(a,b)1 µm,(c)0.5 µm,(d)2 µm
CW,细胞壁;PM,质膜;M,线粒体;N,细胞核;V,液泡
06

JBS5-6菌株发酵液对Foc TR4细胞超微结构的影响
用透射电镜观察Foc TR4菌丝细胞的超微结构。在对照组中,细胞壁、细胞膜和细胞器完整且清晰。可以清楚地观察到小泡、液泡、脂质体和线粒体等器官(图2C)。
经JBS5-6菌株发酵液处理后,Foc TR4菌丝体细胞壁增厚,表面粗糙。菌丝细胞低密度颗粒较多,高密度颗粒较少;同时也发现了细胞质异质性和细胞器解体(图2C)。
07

JBS5-6菌株发酵液对Foc TR4生理生化特性的影响
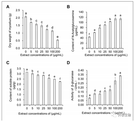
随着菌株JBS5-6发酵液浓度的增加,Foc TR4菌丝体干重逐渐降低(图3A)。
与对照组相比,Foc TR4菌丝体的可溶性蛋白含量随着发酵液浓度的增加而呈现出下降的趋势,可溶性蛋白质含量最低为200µg/mL。
此外,Foc TR4的N-乙酰葡糖胺和β-葡聚糖酶的活性随着发酵液浓度的增加而显著增加,表明Foc TR4的细胞壁受到了菌株JBS5-6发酵液的严重破坏(图3B,D)

图3. JBS5-6菌株对Foc TR4的(A)菌丝体干重、(B)N-乙酰葡糖胺含量、(C)可溶性蛋白质含量(D)β-葡聚糖酶活性的影响
08

JBS5-6菌株的最低抑菌浓度
采用96孔微量滴定法测定JBS5-6菌株发酵液对11种植物病原真菌的最低抑菌浓度。与环己酰亚胺和嘧菌酯的抗真菌活性相比,JBS5-6菌株的最低抑菌浓度为50µg/mL~1.563µg/mL。对Foc TR4和F. graminearum的最低抑菌浓度较低,分别为6.25 µg/mL和3.125 µg/mL。对C. gloeosporioides的最低抑菌浓度为1.563 µg/mL,表明该提取物具有强烈的杀真菌活性,可抑制这种病原体的生长。在对照组中对选定的植物病原真菌没有抑制作用。
09

JBS5-6菌株基因组测序及代谢物预测
通过测序和组装,JBS5-6菌株的基因组由11161721 bp组成,GC含量为71.40%,包括9840个基因和73个rRNA基因(图4A)。此外,JBS5-6菌株和链霉菌标准菌株S.violaceusniger NBRC13459基因组的平均核苷酸相似度(ANI)计算值为97.52,高于物种划分的阈值95-96%。菌株JBS5-6被鉴定为S. violaceusniger。
在JBS5-6菌株总共鉴定出的9767个蛋白质编码基因中,73.85%和45.38%的基因被分别注释为COG和KEGG功能类别(图4B,C)。在COG类别中,代谢过程所占比例最高(39.12%),其次是信息存储和处理(17.48%)以及细胞过程和信号(12.20%)。

图4. 菌株JBS5-6的基因组结构和代谢途径分析
(A)菌株 JBS5-6染色体圆形图谱,从外到内,第1、4环:正/反链上按COG类别着色的蛋白质编码基因 第2、3环:正/反链上的CDS、tRNA和rRNA 第5环:G + C的含量 (B)JBS5-6菌株基因组的COG注释(C) 根据KEGG数据库对JBS5-6菌株基因组的路径注释
10

JBS5-6菌株活性成分的GC-MS鉴定
菌株JBS5-6发酵液的活性化合物通过GC-MS进行了分析。根据保留时间、分子质量和分子式,通过与NIST库的比对,共鉴定了16种化学成分(表1)。这些化合物主要包括碳氢化合物、黄酮类化合物、聚合醛、酸、吡咯烷和酚酯。化合物的峰面积表示其在提取物中的含量比例(表1)。在这些化合物中,5-羟甲基-2-呋喃甲醛的峰面积为52.75%,表明它是JBS5-6菌株中的主要化合物。
表1. 通过GC-MS从菌株JBS5-6的发酵液中鉴定出的化合物

11

JBS5-6菌株发酵液降低香蕉幼苗病情指数
在盆栽实验中,第7天首次观察到了CK1组的(仅接种Foc的植株)香蕉幼苗的外观枯萎症状(黄化叶)。此后,叶片黄化开始从老叶转移到幼叶。在第35天,镰刀菌枯萎病迅速蔓延到整株植物。有黄化症状的叶片植株倒伏,大面积的香蕉果实逐渐腐烂(图5A)。CK1组病情指数为71.30±7.24。
虽然在JBS5-6菌株发酵液处理组中,有少数植株在下部叶片边缘出现黄化症状,但在水平切割植株时,没有观察到维管束变色(图5A)。只在香蕉茎部中间发现了轻微的褐色。处理组中病情指数为25.78,抑制率为64.94%(图5C)。
用激光扫描共聚焦显微镜观察Foc TR4感染的特征。在对照组中,维管束组织被Foc TR4严重感染,一些维管束细胞中充满了GFP标记的Foc TR4孢子。在JBS5-6菌株发酵液处理组中只有少数维管束细胞带有GFP标记的Foc TR4孢子被观察到(图5B)。

图5. JBS5-6菌株发酵液提高香蕉幼苗对Foc TR4的抗性
(A)接种JBS5-6、Foc TR4菌株35天后叶片的黄化形态 (B)35天后Foc-TR4在香蕉幼苗茎和根中的感染症状(C)35天后香蕉幼苗的病情指数的定量分析
这些结果表明,菌株JBS5-6的发酵液可以抑制Foc TR4的感染,降低香蕉幼苗的发病指数。菌株JBS5-6可以提高香蕉幼苗对Foc TR4的抗性。
+ + + + + + + + + + +
结 论
本研究从香蕉园土壤中分离鉴定出对Foc TR4具有较强抗真菌活性的链霉菌JBS5-6,其发酵液可以抑制Foc TR4的菌丝生长和孢子萌发。
在JBS5-6菌株的全基因组测序中发现了一些与活性次生代谢物生物合成相关的关键功能基因簇。此外,通过GC-MS鉴定了16种化合物。这些基因簇和化合物共同促成了菌株JBS5-6的广谱抗真菌活性。
这一结果得在盆栽试验中得到证实,JBS5-6菌株的发酵液显著提高了香蕉幼苗对Foc TR4的抗性。
+ + + + +



English

