文献解读|Nat Metab(20.8):人类系统蛋白质组对7天完全热量限制的适应
✦ +
+
论文ID
原名:Systemic proteome adaptions to 7-day complete caloric restriction in humans
译名:人类系统蛋白质组对7天完全热量限制的适应
期刊:Nature Metabolism
影响因子:20.8
发表时间:2024.03.01
DOI号:10.1038/s42255-024-01008-9
背 景
长时间没有食物的生存塑造了人类的进化。在古代和现代社会,全球数十亿人出于宗教目的实行长期禁食,最近作为减肥干预措施而受到欢迎,但目前对其系统适应的了解仍然非常有限。
实验设计

结 果
01
长期禁食的系统影响
研究团队对12名参与者(5名女性和7名男性)进行了为期7天的禁食前、禁食期间和禁食后的研究,禁食期间和禁食后只有绝对的热量限制和随意饮水。他们在禁食干预前2天、干预期间每天以及停止干预后3天清晨(6:00 - 9:00)采集所有参与者的空腹血(图1a)。基于Olink 3072 Explore平台,他们在117个样本中共测量了2923个蛋白靶点。
研究开始时,参与者的平均体重为 77.5 kg[标准差 (s.d.) 15.7 kg],平均体重指数 (BMI) 为 25.4 kg m −2 (s.d. 4.1 kg m −2)。禁食7天后,参与者平均体重减轻5.7 kg[平均标准误差(s.e.m.)±0.8 kg],相当于1.9单位(±0.18)的BMI,在接下来的3天随意进食中,体重保持在初始体重(平均 -3.1±0.6 kg)以下(图1b)。皮下脂肪区明显减少,但内脏脂肪区没有明显减少,骨量也没有明显减少。
在最初的2-3天内观察到预期的从葡萄糖到脂质利用的转变,血浆葡萄糖浓度下降,而脂肪酸浓度上升,此后趋于稳定(图1d-f)。在整个禁食期间,血浆3-羟基丁酸盐浓度持续上升,证明了酮生成增加以满足能量需求(图1c)。
三分之一的蛋白质靶点(35.9%)在禁食期间发生显著变化,144个蛋白质靶点增加或减少超过2个单位。全身性血浆蛋白质组反应仅在禁食3天后才明显,禁食24或48小时后几乎没有显著的蛋白质变化(图1h)。大多数蛋白质在研究期间减少,禁食几天后蛋白质数量呈指数增长,而增加的蛋白质数量在第3天后保持相当稳定(图1h)。在参与者恢复进食三天后,66种蛋白质仍与禁食前的血浆水平显著不同。
在通路水平上,他们观察到明确的禁食诱导的胰岛素样生长因子(IGF)信号、细胞因子信号、脂蛋白代谢和更普遍的蛋白质代谢的变化,相关通路的蛋白质都发生了富集,同时,这些蛋白涉及补体和凝血级联、蛋白糖基化改变、细胞粘附或中性粒细胞脱粒等过程(图S6)。

图1. 研究设计和核心参与者特征。
(a) 研究设计。(b-g) 重量、3-羟基丁酸、葡萄糖、胰岛素、游离脂肪酸和总甘油三酯的变化。(h) 与基线相比,基于混合效应线性回归模型的血浆蛋白水平有显著差异。

图S6. 通路富集分析的结果。
血浆中的蛋白质有多种来源,许多在禁食期间发生变化的蛋白质主要或甚至只在特定组织中表达,这些组织包括所有主要器官系统,其中显著富集于肝脏、胰腺、脂肪组织和肠道(图2)。

图2. 血浆蛋白与组织富集显著相关。
02
蛋白质组变化的独特轨迹
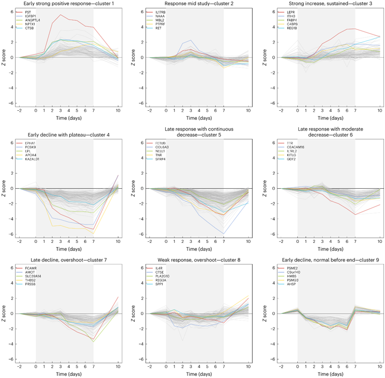
他们在 1034 个显著变化的蛋白质靶标中确定了 9 个聚类,这些聚类反映了对持续禁食和反弹的不同动态适应,大致分为在研究期间沿着不同时间曲线增加(3 个聚类)或减少(6 个聚类)的蛋白质(图3)。在研究结束时,含有增加蛋白的三个聚类(聚类1-3)表明适应维持饥饿信号,降低生殖功能,减少肝脏对低密度脂蛋白(LDL)-胆固醇的摄取,增加蛋白质分解代谢,促进推定的高凝状态,短暂炎症和外分泌胰腺和脂肪细胞功能的潜在代偿反应。显示早期和持续增加的蛋白质(聚类1)包括信号肽,如针刺相关肽,脂质代谢的关键调节因子(LDL受体和ANGPTL4)、igf结合蛋白,聚类1还富集“因子IX激活”和参与蛋白质降解的蛋白质(例如组织蛋白酶B和L)。在第2天和第3天短暂增加的蛋白质表明补体级联的适度激活,而含量持续升高的蛋白质包括外分泌胰腺分泌的蛋白质(例如REG1B或REG3G)或与脂肪细胞生物学相关的蛋白质(例如脂肪酸结合蛋白4)。后者进一步反映在蛋白质上,随后在2-3天内下降并趋于稳定(聚类4)(图3)。这些蛋白质表明从葡萄糖到外周脂质释放和利用的代谢转换,以及细胞内摄取或减少细胞外基质(ECM)蛋白质的再循环,以在长时间禁食期间节省蛋白质库。

图3. 禁食期间血浆蛋白水平的时间轨迹。总共 1034 个蛋白质靶标在研究过程中表现出显著变化。
03
长期禁食与减肥的不同效果
研究期间体重变化的血浆蛋白质组学谱与血浆3-羟基丁酸水平的变化仅弱相关(图4a),大多数蛋白质与禁食显著相关(图4b)。这一结果可能意味着,长期禁食的效果不同于短期减肥。然而,早期变化(≥48小时)与禁食3天或更长时间后发生的深刻变化相比是微妙的,禁食时间比所有常用的禁食策略都要长。空腹蛋白特征强烈富集于ECM蛋白,Tenascin-R是一种脑特异性ECM蛋白,与之关联最为显著(图4c)。Tenascin-R对于神经周围网络的结构维持是不可或缺的,它稳定神经元和突触,因此关键地决定突触的可塑性。
血浆中3-羟基丁酸盐的升高与与大脑特异性细胞外基质成员(例如Brevican或Vitrin)和神经营养因子(例如神经滋养因子4)的水平下降密切相关。
在禁食期间,肺表面活性物质相关蛋白D(SFTPD)和白细胞介素7受体(IL7R)从与体重轨迹最密切相关的蛋白质中脱颖而出(图4d-e)。两者都以一致的方式跟踪体重变化,随着体重减轻而下降,在参与者恢复饮食体重反弹后增加。这两种蛋白质在免疫中都有重要作用;SFTPD参与了对肺部病原体的一线反应,而IL7R对T细胞发育至关重要,其功能紊乱与自身免疫病因的疾病有关,包括多发性硬化症和哮喘。

图4. 与血浆 3-羟基丁酸和体重变化相关的蛋白质。
(a) 来自线性回归模型的相对Z分数( β /se)的散点图,将整个研究期间血浆3-羟基丁酸水平(x轴)和体重(y轴)的变化与血浆蛋白水平相关联。(b) 混合效应线性回归模型分析。(c-e) 3-羟基丁酸和 TNR 变化、体重和 SFTPD 的变化、体重和 IL7R 的变化。
04
禁食代谢反应的蛋白质组学介质
他们通过整合目前和人类基因研究的数据,确定了可能介导长时间禁食代谢适应的蛋白质。他们优先考虑了总共20个蛋白质靶点(图5a),(1)这些靶点在本研究中与基于血液的葡萄糖和脂质代谢标志物密切相关(图5b),(2)有强有力的遗传证据表明,影响蛋白质水平的DNA序列变异也容易导致葡萄糖和脂质代谢改变或相关疾病(图5a)。这包括PCSK9和ANGPTL4)和 asialglycoprotein receptor 1 (ASGR1)(一种典型的去脂糖蛋白肝细胞受体,是LDL受体的配体),它们调节脂蛋白摄取和代谢的调节因子;还包括未报道的候选物,如抑制素β-C链(INHBC)。INHBC在肝脏中特异性表达,它通常在肝脏二聚化形成激活素,而β - C链的二聚化是一种失活机制。激活素与抑制素协同作用,调节性腺激素,特别是促卵泡激素的性别特异性释放,对多器官的正常形态发生至关重要。

图5. 基因预测和观察到的蛋白质对空腹代谢影响的趋同。
(a) 基因预测较高血浆蛋白水平对不同代谢特征的影响。(b) 效应估计来自混合效应线性回归模型,该模型将血浆蛋白水平与本研究中测量的不同血液生物标志物相关联。
05
基因预测长期禁食对健康的影响
他们最终通过首先确定与血浆蛋白水平相关的遗传变异,估计了禁食期间显著改变的1044种蛋白质的潜在健康影响,随后系统地建立了与疾病和多种健康措施相关的共有遗传结构。他们还成功地建立了212种蛋白质血浆水平较高/较低的遗传倾向性与近500种疾病和健康措施相关的推定因果关系(图6a)。
除了脂质代谢相关蛋白如PCSK9、LPL或ANGPTL4外,几乎没有证据表明这些蛋白在早期(即在短时间禁食不到2天之后)对健康结果有显著影响(图6b-c)。相比之下,禁食后期和禁食三天或更长时间后改变的蛋白质对多种健康结果显示出不同的影响(图6d-i)。这些结果总体上建立了一个多样化的蛋白质基因组图谱(图6d-i),包括与已知受益于长期禁食的疾病的联系。例如,确定了开关(switch)相关蛋白70 (SWAP70)和类风湿关节炎(RA)血浆水平之间的共有遗传信号。rs4910499的a等位基因与较高的血浆SWAP70水平相关,并且具有明显较高的RA风险。
他们观察到超过一半的基因预测的蛋白质疾病联系,长时间禁食似乎可以补偿潜在的不利影响,包括与阿尔茨海默病相关的补体受体1和cd2相关蛋白。相比之下,对于其余的例子,长时间禁食影响蛋白质水平的方式与遗传预测的疾病风险增加相一致,例如凝血因子XI水平的增加与血栓事件的高风险遗传相关(图6j)。他们还观察到对骨骼健康的潜在有益和有害影响的证据(图6j)。AXL 受体酪氨酸激酶 (AXL)、生长分化因子 15 受体 (GFRAL)、解整合素和金属蛋白酶结构域蛋白 12 (ADAM12) 或血管生成素相关蛋白 7 (ANGPTL7) 等骨促进标志物下降。相反,与骨量减少相关的七种蛋白质也下降了,包括(TNF受体超家族成员11a(TNFRSF11A)、分泌卷曲相关蛋白4(SFRP4)、亨廷顿相互作用蛋白1相关蛋白(HIP1R)、排斥引导分子a(RGMA)、胎盘生长因子(PGF)、多肽N-乙酰氨基半乳糖转移酶3(GALNT3)和共济失调蛋白3(ATXN3)。

图6. 蛋白-疾病网络。
(a) 蛋白质编码基因附近蛋白质数量性状位点(pQTL)与疾病和健康措施的鉴定和连锁流程图。(b-i) 蛋白质-疾病网络分析禁食期间显著变化的蛋白质。 (j) 围绕两种不同因果遗传变异的样本网络,分别针对第XI因子和推测与骨表型因果相关的蛋白质展开。
06
调节心血管风险的禁食的调节因子
冠状动脉疾病(CAD)是最常见的遗传相关疾病,共有八个不同的蛋白质靶点在禁食期间也会发生变化(图7a–c),包括四个与脂质代谢无关的靶点,例如,与平滑肌细胞分化有关的leiomodin 1(LMOD1)的减少。共有遗传变异rs1177562的hyou1增加t等位基因(图7d)与CAD风险增加相关,他们估计每增加1个 s.d.风险增加两倍。校正病例/对照不平衡后,基因预测血浆蛋白水平升高。他们发现这种遗传信号也与不利的心血管风险相关,包括较高的肥胖、脂肪量、肝酶水平和较低的高密度脂蛋白(HDL)胆固醇(图7d)。HYOU1在富含内质网的组织和细胞类型(如肝脏和胰腺)以及脂肪组织中的浆细胞和树突状细胞中高度表达,在这些组织和细胞中,HYOU1有助于蛋白质的正确折叠和分泌。

图7. 在 CAD 中具有假定因果作用的禁食蛋白。
(a) 以 CAD 为中心的基因推断蛋白质疾病网络。 (b) 研究期间目标蛋白的时间轨迹。 (c) 根据蛋白质编码位点中的主要遗传变异来估计遗传易感性对较高蛋白质水平对 CAD 风险的影响的优势比。(d) 全基因组关联研究中HYOU1的共有遗传信号在HYOU1、BMI、HDL 胆固醇和 CAD 血浆水平之间的区域关联图。
+ + + + + + + + + + +
结 论
本项研究发现 12 名志愿者(5 名女性,7 名男性)7 天的纯水禁食导致平均体重减轻 5.7 公斤(±0.8 公斤),展示了九种不同的蛋白质组学反应概况,基于对禁食前、禁食期间间和之后的约 3000 种血浆蛋白的时间轨迹的深入表征,仅在完全限制热量 3 天后,系统性变化才明显。对完全热量限制的多器官反应显示出禁食持续时间和体重减轻的明显影响,并且在具有超过 1000 个显著反应蛋白质中保守。来自身体各个部位的细胞外基质蛋白在禁食特征中显著富集,证明了深刻的非代谢适应。使用蛋白质组学方法,他们评估了 212 种蛋白质在禁食期间变化的约 500 种结果对健康的影响,并确定了假定的有益作用(SWAP70 和类风湿性关节炎或 HYOU1 和心脏病)以及不利影响。本项研究结果增进了对人类长期禁食的理解,而不仅仅是以能量为中心的适应系统反应,可以为有针对性的治疗调节提供信息。
+ + + + +



English

