文献解读|Microbiome(15.5):多组学研究表明碱性矿泉水可改善运输小牛的呼吸健康和生长性能
✦ +
+
论文ID
原名:Multi-omics reveals that alkaline mineral water improves the respiratory health and growth performance of transported calves
译名:多组学研究表明碱性矿泉水可改善运输小牛的呼吸健康和生长性能
期刊:Microbiome
影响因子:15.5
发表时间:2024.03.08
DOI号:10.1186/s40168-023-01742-4
背 景
在养牛业中,长途运输时,牛会受到各种压力,包括接触不同的处理技术、在新环境中与不熟悉的个体混合、剥夺食物和水、以及遭受温度波动的影响,这使得运输对它们来说是一个压力很大的事件。运输已确定为促进牛呼吸道疾病 (BRD) 发生和进展的关键因素。人们对碱性矿泉水(AMW)的健康和医疗益处进行了广泛的研究和研究,其中含有钠、钾、锌、偏硅酸等必需元素以及锗等稀有矿物,这些元素对器官至关重要功能(心脏、大脑和肠道),以及消化和免疫生物合成等各种生理功能。补充 AMW 可能会增强运输小牛的呼吸道健康和生长性能。尽管如此,这个假设还需要验证。
实验设计

结 果
01
实验设计
本项研究中,116头小牛中的每一头都随机分配了一个从1到116的唯一编号。随后,它们随机分为两个相邻的栏,即I栏和II栏。 I 栏饲养了 63 头小牛,而 II 栏饲养了 53 头小牛。在三天的混合运输过程中,向第 I 栏的小牛提供 AMW 原液(北京金钉生物科技有限公司,货号:Q/NEL 005-2017),剂量为每头小牛每天30毫升,混入饮用水中。
在运输即将结束时(第-3天),随机选择来自I栏的10头小牛和来自II栏的10头小牛,进行标记,并采集其血样和鼻咽拭子。他们到达后,设立了两组,即AMW组和对照组进行实验。AMW 组由 I 栏内 10 头标记的小牛和 A 栏内随机选择的 20 头小牛组成。同时,对照组由 II栏内 10 头标记的小牛和 B 栏内随机选择的 20 头小牛组成。AMW 组中的小牛到达饲养场后给予AMW原液,每头小牛每天30ml,持续30天,对照组小牛不给予AMW原液,作为对照。他们在小牛抵达饲养场后对它们进行了 108 天的监测(图1A)。
在前两个月内,对照组的一头实验小牛(78号)死亡。这头小牛不在20头标记的小牛之列,因此没有纳入在实验中。因此,AMW组为30头小牛,对照组为29头小牛。在饲养场的第一天到第60天,温度和湿度指数(THI)经历了一个快速的下降(图1B)。
对照组小牛的直肠温度(39.022℃)显著高于AMW组小牛(图1C)。两组小牛的状态评分相似(图1D)。AMW组小牛的呼吸评分、食欲评分、眼耳评分、鼻分泌物评分均显著低于对照组(图1 E-H)。在第 46 天至第 108 天期间,AMW 组小牛的体重 (30.87 kg) 明显高于对照组 (图1 I)。此外,第46天每只实验小牛增加的体重与其体重的比率显示出与体重增加相似的结果(图1J)。

图1. 实验设计和小牛生理表现示意图。
(a) 本研究实验设计及流程示意图。(b) 小牛到达后60天内的温度和湿度指数(THI)。(c) 每只实验小牛抵达后30天内的直肠温度。(d-h) 实验小牛到达后60天内的状态评分、呼吸评分、食欲评分、眼耳评分、鼻分泌物评分。(i) 第46天至第108天实验小牛体重增加量。(J) 从第 46 天到第 108 天的小牛增加的体重与第 46 天初始体重的比率。
02
小牛鼻咽微生物组概况
他们进行了16S rRNA 基因测序。在第-3天,与对照组相比,AMW 组小牛的鼻咽微生物群落的 Chao1 和 Shannon 指数显著增加,这表明微生物群落的 α 多样性。然而,在第 30 天,两组这些指标没有显著差异。第60天时,AMW组小牛鼻咽部微生物群落Chao1指数显著降低,Shannon指数与对照组相似(图2A-B)。AMW组和对照组小牛在第-3、30和60天的鼻咽微生物群进行了主坐标分析(PCoA)(图2C)。相似度分析(ANOSIM)结果显示,在第3天和第60天,AMW组小牛的鼻腔微生物群与对照组相似。
具体来说,变形菌门、厚壁菌门、拟杆菌门和放线菌门是最丰富的门。在相对丰度大于1%的门中,第-3天和第30天,AMW组小牛鼻咽部的拟杆菌门和变形菌门的相对丰度高于对照组(图2D-G)。第60天时,AMW组和对照组小牛鼻咽上各菌门的相对丰度基本一致(图2J)。他们集中研究了相对丰度大于1%的属。第-3天,与对照组相比,AMW组小牛鼻咽部的UCG-005、Bacteroides、Rikenellaceae RC9和Christensenellaceae R-7的相对丰度均高于对照组。然而,其他9个属在两组之间的水平相当(图2E)。SIMPER分析显示,在第-3天,AMW组与对照组小牛鼻咽菌群主要是莫拉菌、支原体和巴氏菌存在差异(图2F)。在第30天,与对照组相比,AMW组小牛鼻咽中的假单胞菌数量更多,而其他10属则保持相当(图2H)。AMW与对照组小牛鼻咽菌群差异的主要原因是莫拉菌、支原体和丝状杆菌(> 0.1)(图2I)。第60天,AMW组和对照组小牛鼻咽菌群中相对丰度> 1%的菌群相对丰度相当,其中莫拉菌、支原体和巴氏菌贡献最大(图2K-L)。

图2. 小牛鼻咽微生物群的结构和组成。
(a-b) 小牛鼻咽部微生物区系的 Chao1 和 Shannon 指数。 (c) 小牛鼻咽微生物群基于未加权 Unifrac 主坐标分析 (PCoA) 。(d-L)门和属的相对丰度,以及分别在第-3、30、60天的鼻咽菌群。
03
小牛白细胞的转录组图谱
全血转录组分析显示,AMW组小牛血液中分别有231、61和101个基因在第-3天、第30天和第60天的表达量显著高于对照组。相比之下,与对照组相比,AMW组小牛血液中506、336和132基因的表达水平分别在第-3、30和60天显著降低(图3A-C)。PCA结果表明,AMW组和对照组小牛各时间点血液中的基因表达模式不能有效分离(图4A)。
他们鉴定了AMW组和对照组在第-3、30和60天前20条最富集的KEGG通路(图3D-F)。在第-3天,AMW组与对照组在氧化磷酸化、产热、帕金森病、亨廷顿病、逆行内源性大麻素信号通路、泛酸和辅酶a生物合成、核糖体等7个KEGG通路的差异表达基因(deg)显著增加。在第30天,AMW组与对照组之间各KEGG通路的deg均未显著增加。第 60 天,AMW 组和对照组之间的 DEG 在 5 个 KEGG 通路中显著富集,包括移植物抗宿主病、同种异体移植物排斥、自身免疫性甲状腺疾病、自然杀伤细胞介导的细胞毒性和金黄色葡萄球菌感染相关通路。
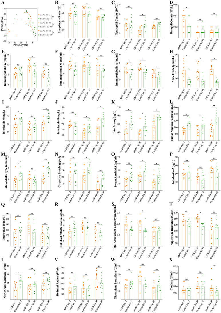
与对照组相比,AMW组小牛的血液样本在淋巴细胞计数(LYM)与白细胞(WBC)、中性粒细胞计数(NEU)的比率以及嗜碱性粒细胞计数(BAS)表现出显著差异(图4B-C)。
AMW组小牛血液中IgG水平在第30天较高,IgM水平在第-3天较高,IgA水平在第-3、30和60天较高,NO水平在第-3、30和60天较高(图4E-H)。AMW组小牛血液中IL-6(第-3天和第60天)、IL-8(第30天和第60天)、IFN-γ(第-3天和第30天和第60天)、TNF-α(第-3天和第30天和第60天)、MDA(第-3天、第30天和第60天)、CRP(第30天和第60天)、SAA(第30天和第60天)水平降低(图4I-O)。与对照组相比,AMW组小牛血液中每天的IL-2、IL-10和HSP70水平相似(图4P-R)。
此外,与对照组相比,AMW组小牛在第-3天和第30天的T-AOC活性和第30天的SOD活性显著升高(图4S-T),NOS活性降低(图4U),OH、GSH-Px和CAT活性相似(图4V-X)。

图3. 血液转录组测序和分析的可视化结果。
(a-c) 第 -3 天、30 天 和 60 天时 AMW 组和对照组之间显著上调(橙色)和下调(绿色)基因的火山图。 (d-f) AMW 组和对照组之间差异表达基因 (DEG) 的前 20 个富集 KEGG 通路的气泡图。

图4. 与转录组测序获得的富集 KEGG 通路相关的血清指标的比较。
(a) 基于每千碱基百万个片段的小牛血液基因表达数据的主成分分析(PCA)结果。(b-d) AMW组和对照组小牛各时间点血液中淋巴细胞计数与白细胞计数的比值。(e-R) 测定AMW组和对照组小牛各时间点血液中免疫球蛋白G、免疫球蛋白M、免疫球蛋白A、一氧化氮、白细胞介素(IL)-6、IL-8、干扰素-γ、肿瘤坏死因子-α、丙二醛、c反应蛋白、血清淀粉样蛋白A、IL-2、IL-10和热休克70kda蛋白的浓度。(S-X) 各时间点AMW组和对照组小牛血液中总抗氧化能力、超氧化物歧化酶、一氧化氮合酶、羟基自由基、谷胱甘肽过氧化物酶和过氧化氢酶的活性。
04
血清小分子代谢物概况
在血清代谢组学分析中,他们检测到1092种代谢物,其中459种代谢物分别属于26条KEGG通路(图5A)。具体来说,与对照组相比,AMW组在第-3、30和60天分别表现出29、58和30种代谢物的相对浓度显著高于对照组。另一方面,与对照组相比,AMW组在第-3天、第30天和第60天分别显示出14、41和10种代谢物的相对浓度显著降低(图5B-D)。第-3天,差异表达代谢物(DE Metas)在一种通路(即不饱和脂肪酸的生物合成)中表现出显著富集,而在第30天没有观察到显著富集。然而,在第60天,DE Metas在三种通路中即药物代谢-其他酶、醛固酮-调节的钠重吸收和甲状腺激素合成在 AMW 组和对照组之间显示出显著的富集(图5E-G)。

图5. 非靶向代谢组学测序和分析的可视化结果。
(a) 检测到的代谢物在KEGG数据库中的注释结果。(b-d) AMW 组和对照组之间分别在第 -3天、30 天和 60 天显著上调(橙色)和下调代谢物(绿色)的火山图。 (e-g) 分别在第-3天、30天和60天时AMW组和对照组之间差异表达代谢物的前20个富集KEGG通路的气泡图。
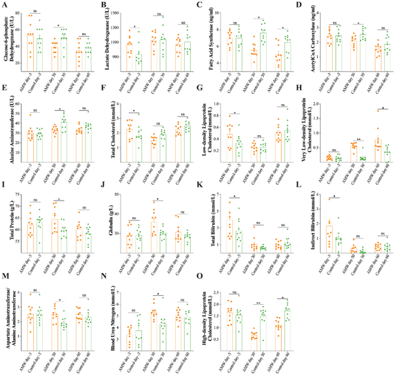
AMW 组小牛的血清在第 30 天表现出较高的 磷酸葡萄糖脱氢酶(G-6-PDH) 活性,在第 -3 天表现出较高的乳酸脱氢酶(LDH)活性(图6A-B)。他们在第 30 天和第 60 天的 脂肪酸合成酶(FAS) 活性、第 30 天的 乙酰辅酶A羧化酶(ACC)活性以及第 30 天的丙氨酸氨基转移酶(ALT)活性也较低(图6C-E)。此外,AMW组在第-3天的总胆固醇(TC)、第-3天的低密度脂蛋白胆固醇(LDL-C)、第30和第60天的超低密度脂蛋白胆固醇(VLDL-C)、第30天的总蛋白(TP)、第30天的球蛋白(GLB)、第-3天的TBIL、第-3天的间接胆红素(IBIL)、第30天的天冬氨酸氨基转移酶(AST)/丙氨酸氨基转移酶(ALT)、第30天的血尿素氮(BUN)水平均显著升高(图6F-N)。相比之下,他们在第30天和第60天的高密度脂蛋白胆固醇(HDL-C)水平明显较低(图6O)。

图6. 代谢组学测序获得的富集 KEGG 通路相关指标的比较。
(a-e) AMW组和对照组小牛血清中各时间点葡萄糖6-磷酸脱氢酶、乳酸脱氢酶、脂肪酸合成酶、乙酰辅酶A羧化酶、丙氨酸转氨酶的活性。 (f-O) 检测AMW组和对照组小牛各时间点血清总胆固醇、低密度脂蛋白胆固醇、极低密度脂蛋白胆固醇、总蛋白、球蛋白、总胆红素、间接胆红素、天冬氨酸转氨酶/丙氨酸转氨酶比值、血尿素氮、高密度脂蛋白胆固醇浓度。
05
鼻咽微生物组、血液转录组和血清代谢组之间的关系
他们在DEG和DE Meta的联合分析中,观察到HIF-1信号通路、抗坏血酸和丙二酸代谢、卟啉和叶绿素代谢、胆汁分泌、谷胱甘肽代谢、维生素消化和吸收在第-3天富集(图7A)。第30天,19条通路,即cGMP-PKG信号通路、嗅觉转导、昼夜节律夹带、长期抑郁、癌症中的胆碱代谢、间隙连接、甲状腺激素合成、唾液分泌、类固醇激素生物合成、卟啉和叶绿素代谢、血管平滑肌收缩、味觉传导、催产素信号通路、嘌呤代谢、血小板活化、醛固酮合成和分泌、前列腺癌和胆汁分泌等发生富集(图7B)。然而,只有两个通路(药物代谢-其他酶和前列腺癌)在第 60 天富集(图7C)。

图7.通路富集分析。
(A-B)AMW 组和对照组小牛血液中差异表达基因和差异表达代谢物所共有的富集 KEGG 通路。
他们评估了 DE Metas 和鼻咽微生物群之间的 Spearman 等级相关性,在属水平上相对丰度超过 1%。第-3天总共检测到53个显著相关性,其中38个呈正相关,4个呈负相关(图8A)。第30天,发现了37个显著相关性,其中16个呈正相关,9个呈负相关(图8B)。最后,在第 60 天发现了 20 个显著相关性,其中 1 个呈负相关,6 个呈正相关(图8 C)。

图8. 相关性分析。
(a-c)属水平上差异表达代谢物与相对丰度超过1%的鼻咽微生物的相关性。
+ + + + + + + + + + +
结 论
本项研究通过常规血常规检测、全血转录组测序、血清学检测、血清非靶向代谢测序和16S rRNA基因测序发现,补充 AMW 可以增强外周免疫力、营养吸收和代谢过程,从而影响鼻咽部微生物群,改善运输小牛的呼吸系统健康和生长性能。本研究为缓解运输压力提供了切实可行的方法,并探讨了其潜在机制,有利于畜牧业的发展。
+ + + + +



English

